Over 2.8 million + professionals use CFI to learn accounting, financial analysis, modeling and more. Unlock the essentials of corporate finance with our free resources and get an exclusive sneak peek at the first module of each course.
Start Free
What is the Heston Model?
The Heston model is a stochastic model used to evaluate the volatility of an underlying asset. Like other stochastic models, the Heston model assumes that the volatility of an asset follows a random process rather than a constant or deterministic process.
The Heston model was developed to help price options while accounting for variations in the asset’s price and volatility. When pricing options, one aspect to consider is market volatility and its effects on asset prices.
To account for this volatility, the Heston model was developed to address an asset’s volatility as a stochastic process. As such, it stands out in comparison to other models, including the Black-Scholes model that treats volatility as a constant.
Summary
The Heston model is a stochastic model developed to price options while accounting for variations in the asset price and volatility.
It assumes that the volatility of an asset follows a random process rather than a constant one.
It stands out in comparison to other models that treat volatility as a constant, such as the Black-Scholes model.
Application of the Heston Model
Developed by mathematician Steven Heston in 1993, the Heston model was created to price options, which are a type of financial derivative. Unlike other financial assets such as equities, the value of an option is not based on the value of an asset but rather the change in an underlying asset’s price.
Each option is a contract between a buyer and seller, which gives the holder of the option the right to buy or sell the underlying asset at a specific price. All options have a specific expiration date, at which point the contract must be executed at the previously set price or risk expiring.
However, the volatility of options depends on the price and maturity. Therefore, the Heston model was designed to price an option while accounting for these variations in market volatility.
There are two categories of options: calls and puts. Calls allow the holder to buy at a specific price, and puts allow the holder to sell at a specific price.
Once a call or put option has been purchased, the date at which the holder can buy or sell depends on whether it is an American or European option. American options allow the holder to execute the option anytime before the expiry date, while European options only allow the holder to execute the option on the expiry date. It’s important to note that the Heston model is only capable of pricing European options.
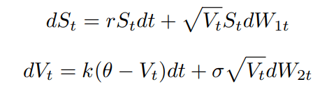
Calculating the Heston Model
Mathematically, the Heston model assumes that asset prices are determined by a stochastic process. To calculate the underlying price of an asset, the model uses the following equations:
In the equations above, the variables are defined as:
W1tis the Brownian motion of the asset price
W2tis the Brownian motion of the asset’s price variance
ρ is the correlation coefficient for W1tand W2t
St is the price of a specific asset at time t
√Vtis the volatility of the asset price
σ is the volatility of the volatility
r is the risk-free interest rate
θ is the long-term price variance
k is the rate of reversion to the long-term price variance
dt is the indefinitely small positive time increment
Note that the Brownian motions are random processes that exhibit the following properties:
W0 = 0
Wt has independent movements
Wt is continuous in t
Increments of Wt – Ws have a normal distribution, mean zero, and variance|t – s|
Heston Model vs. Black-Scholes Model
In the realm of quantitative finance, the Black-Scholes model is the most well-known option-pricing model due to its simplicity and widespread use. However, it is not stochastic and therefore assumes that the volatility of an underlying asset is always constant.
Under actual market conditions, the volatility of options tends to vary due to factors such as price and maturity. As such, the model does not account for variations in asset prices and price volatility.
In contrast, the Heston model is a stochastic volatility model and accounts for variations in the asset’s price and volatility. Therefore, this model assumes that the volatility of an asset follows a random process rather than a constant one.
In general, it captures market conditions more accurately than the Black-Scholes model by providing an overview of various implied volatility conditions.
In order to help you become a world-class financial analyst and advance your career to your fullest potential, these additional resources will be very helpful:
Take your learning and productivity to the next level with our Premium Templates.
Upgrading to a paid membership gives you access to our extensive collection of plug-and-play Templates designed to power your performance—as well as CFI's full course catalog and accredited Certification Programs.
Gain unlimited access to more than 250 productivity Templates, CFI's full course catalog and accredited Certification Programs, hundreds of resources, expert reviews and support, the chance to work with real-world finance and research tools, and more.